Sum of Left Leaves - LeetCode
Level up your coding skills and quickly land a job. This is the best place to expand your knowledge and get prepared for your next interview.
leetcode.com
이진트리의 root가 주어진다.
주어진 트리의 왼쪽 자식 노드의 값의 합을 반환하는 문제다.
예시

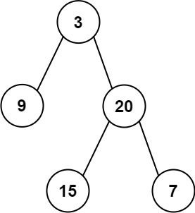
Input: root = [3,9,20,null,null,15,7]
Output: 24
Explanation: There are two left leaves in the binary tree, with values 9 and 15 respectively.
추가로 왼쪽 자식 노드의 값의 합을 반환하는 문제이기 때문에 root만 주어진다면 0을 반환해야 한다.
접근법
우선 재귀를 사용해서 해결할 수 있는 것 까진 문제만 읽고 감이 왔다. 어떻게 디자인을 할지 생각해보니...
결국 구하려는 값은 root의 왼쪽 subtree에 존재하는 왼쪽 자식 노드들의 값의 합 + 오른쪽 subtree에 존재하는 왼쪽 자식 노드들의 값의 합이라는 생각이 들었다. 그럼 우선 왼쪽, 오른쪽 subtree를 DFS로 탐색한 뒤 결괏값을 반환하는 구조로 디자인을 한 뒤에 조건을 맞추면 되지 않을까?라고 생각했다.
1. DFS
from typing import *
class TreeNode:
def __init__(self, val=0, left=None, right=None):
self.val = val
self.left = left
self.right = right
class Solution:
def sumOfLeftLeaves(self, root: Optional[TreeNode]) -> int:
def dfs(cur, flag):
if not cur.left and not cur.right and flag == 0:
return cur.val
answer = 0
if cur.left:
answer += dfs(cur.left, 0)
if cur.right:
answer += dfs(cur.right, 1)
return answer
return dfs(root, -1)

구현 방법은 DFS의 나름 전형적인 디자인이지만 현재 자식 노드가 부모 노드의 왼쪽 자식인지를 판단하기 위해서는 어느 방향에서 왔는지에 대한 값을 가지고 판단해줘야 한다. flag라는 값을 이용해 이를 해결했고, 초기 시작할 때는 -1로 시작하기 때문에 만약에 자식이 없는 root만 주어지는 경우도 조건문 없이 바로 적용이 가능하다.
'Algorithm' 카테고리의 다른 글
| 51. N-Queens (0) | 2021.11.19 |
|---|---|
| 18. 4Sum (0) | 2021.11.16 |
| 392. Is Subsequence (0) | 2021.11.09 |
| 16. 3Sum Closest (0) | 2021.11.02 |
| 41. First Missing Positive (0) | 2021.11.01 |